Semua Soal (Acak) : SMP Kelas 7 / Ujian Semester 1 Matematika SMP / MTs Kelas 7
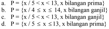
P = {3, 5, 7, 9, 11,13}, jika dinyatakan dalam notasi pembentuk himpunan adalah…..

Pilih soal berdasarkan kelas
SD Kelas 1 SD Kelas 2 SD Kelas 3 SD Kelas 4 SD Kelas 5 SD Kelas 6 SMP Kelas 7 SMP Kelas 8 SMP Kelas 9 SMA Kelas 10 SMA Kelas 11 SMA Kelas 12Preview Soal Lainnya:
› Soal #47182 : Listrik Statis - IPA SMP Kelas 9Kaca yang digosokkan kain sutera akan bermuatan positif. Hal ini terjadi karena..
A. elektron berpindah dari kain sutera ke kaca
B. elektron berpindah dari kaca ke kain sutera
C. proton berpindah dari kain sutera ke kaca
D. proton berpindah dari kaca ke kain sutera
› Soal #98080 : PPKn SD Kelas 5
bintang merupakan lambang sila ke….Pancasila
A. satu
B. dua
C. tiga
D. empat
E. lima
Materi Latihan Soal Lainnya:
- PH SKI Bab 1 MA Kelas 10 Semester Genap
- STS Bahasa Indonesia SMP Kelas 7
- Kuis Perpajakan - Ekonomi SMA Kelas 11
- Seni Budaya dan Keterampilan SMA Kelas 12
- Identitas Individu dan Nasional - PPKn SMA Kelas 10
- Bahasa Indonesia Bab 5 SD Kelas 5
- Peran Indonesia Dalam Perdamaian Dunia - PPKn SMA Kelas 11
- PTS PPKn SMA Kelas 12 Semester 1
- PTS Prakarya SMP Kelas 7 Semester Ganjil
- PTS P2TL SMK Kelas 11 Semester Ganjil
